Si \(\bar{X}\) es la media de una muestra de tamaño \(n\) tomada una población con media \(\mu\) y varianza \(\sigma^{2}\), entonces la forma límite de la distribución de \(z =(\bar{X} - \mu)/(\sigma/\sqrt{n})\) se aproxima a una distribución normal estándar.
\[Z=\dfrac{\bar{X}-\mu}{\Big(\sigma/\sqrt{n}\Big)} \sim N(0,1) \]
Conforme \(n\rightarrow \infty\), esta aproximación es cada vez más próxima a la normal. Este teorema es aplicable también a la variable total de sumatoria de los valores de la muestra \(T_{n}=X_{1}+X_{2}+...+X_{n}\)

Como se muestra en la figura 2.38, sin importar la distribución de los datos, la distribución de la media se va transformando en una distribución simétrica, hasta converger en la distribución normal. Esta aproximación se hace mayor cuanto mas grande sea el tamaño de la muestra
El potencial de este teorema esta en que no importa la distribución de la variable\(X\), la distribución de la media proveniente de la muestra tomada de esta población se distribuye aproximadamente normal.
Supongamos que se tiene población exponencial con parámetro \(\lambda = 1\) con función de densidad de probabilidad dada por:
\[\begin{equation*} f(x)=\left\lbrace \begin{array}{lll} e^{-x} &,& x > 0 \\ &&\\ 0 &,& x \leq 0 \end{array} \right. \end{equation*}\]
Figura 2.39 Función exponencial con \(\lambda = 1\)
y se desea observar el comportamiento de la distribución de medias calculadas a partir de muestras de diferentes tamaños de esta población.
Para verificar el Teorema se realiza el siguiente experimento :
A continuación se presentan tanto el código como los resultados obtenidos
# Teorema Central del Límite-----------------------------
# Paso 1
n=1000 # numero de columnas (tamaño máximo de muestra)
m=1000*n
# Caso --------------------------------------------------
# distribución exponencial-------------------------------
X=matrix(rexp(m,1),ncol=n)
# Paso 2
# generación de muestras-------------
X1=X[ ,1] # n=1
X2=X[ ,1:2] # n=2
X10=X[ ,1:10] # n=10
X20=X[ ,1:20] # n=20
X30=X[ ,1:30] # n=30
X50=X[ ,1:50] # n=50
X100=X[ ,1:100] # n=100
# X200=X[ ,1:200] # n=200
X1000=X[ ,1:1000] # n=1000
# Paso 3
# generacion de medias---------------
Mx2=apply(X2,1,mean) # medias de muestras de tamaño n=2
Mx10=apply(X10,1,mean) # medias de muestras de tamaño n=10
Mx20=apply(X20,1,mean) # medias de muestras de tamaño n=20
Mx30=apply(X30,1,mean) # medias de muestras de tamaño n=30
Mx50=apply(X50,1,mean) # medias de muestras de tamaño n=50
Mx100=apply(X100,1,mean) # medias de muestras de tamaño n=100
# Mx200=apply(X200,1,mean) # medias de muestras de tamaño n=200
Mx1000=apply(X1000,1,mean) # medias de muestras de tamaño n=1000
# par(cex=0.5, cex.axis=.5, cex.lab=.5, cex.main=.5, cex.sub=.5, mfrow=c(2,2), mai = c(.3, .3, .3, .3))
# histogramas de comparacion--------------------------
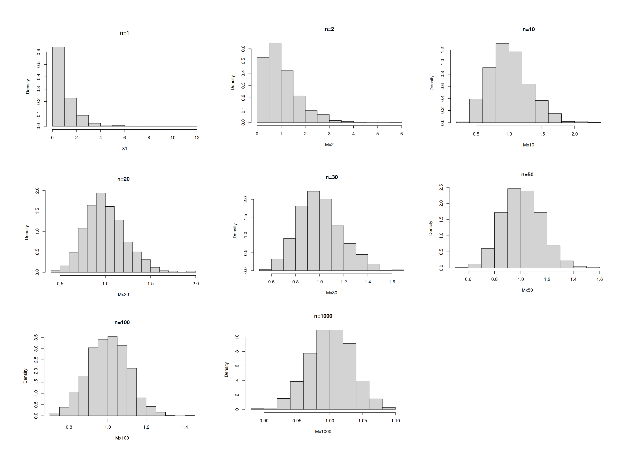
hist(X1, main = "n=1", freq=FALSE)
hist(Mx2, main ="n=2", freq=FALSE)
hist(Mx10, main = "n=10",freq=FALSE)
hist(Mx20, main = "n=20",freq=FALSE)
hist(Mx30, main = "n=30",freq=FALSE)
hist(Mx50, main = "n=50",freq=FALSE)
hist(Mx100, main = "n=100", freq=FALSE)
# (Mx200, main = "n=200",freq=FALSE)
hist(Mx1000, main = "n=1000", freq = FALSE)

Se puede observar que a medida que aumenta el tamaño de muestra \(n\), la forma del histograma se vuelve simétrico, indicando su transformación a comportamiento normal
# bpar(cex=0.5, cex.axis=.5, cex.lab=.5, cex.main=.5, cex.sub=.5, mfrow=c(2,2), mai = c(.3, .3, .3, .3))
# histogramas de comparacion--------------------------
qqnorm(X1, main="n=1") ; qqline(X1, col="red")
qqnorm(Mx2, main = "n=2") ; qqline(Mx2, col="red")
qqnorm(Mx10, main ="n=10") ; qqline(Mx10, col="red")
qqnorm(Mx20, main ="n=20") ; qqline(Mx20, col="red")
qqnorm(Mx30, main = "n=30") ; qqline(Mx30, col="red")
qqnorm(Mx50, main = "n=50") ; qqline(Mx50, col="red")
qqnorm(Mx100, main ="n=100") ; qqline(Mx100, col="red")
# qqnorm(Mx200) ; qqline(Mx200, col="red")
qqnorm(Mx1000, main="n=1000") ; qqline(Mx1000, col="red")

Figura 2.41 Comparación gráficos de normalidad de la media nuestral para \(n = 1\), \(2\), \(10\), \(20\), \(30\), \(50\), \(100\) y \(1000\)
Los resultados muestras desde un gráfico de valores no normales hasta un gráfico de puntos completamente alineados con la recta diagonal que representa la coincidencia entre los percentiles teóricos normales con los percentiles muestrales, indicando así una convergencia a la distribución normal.